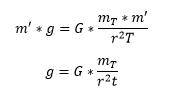
-Una de las consecuencias es la variación de la intensidad de la gravedad, en la que tenemos lo siguiente:
P= m*g
m= masa del cuerpo
g= es la intensidad de la gravedad
-Relación con la ley Gravitacional:

Para resolver ejercicios de gravitación es importante conocer la siguiente tabla:

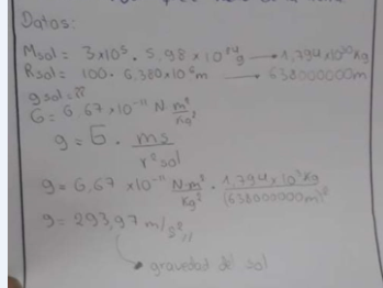
Ejercicio:
Calcule el valor de la gravedad en la superficie del sol; si se sabe que la masa del sol es aproximadamente 3*10^5 veces mayor que la masa de la Tierra y el radio es 100 veces mayor que el radio de la Tierra:

La fuerza de atracción gravitacional es la fuerza con que la Tierra nos atrae hacia el suelo, es la culpable de que, al perder el equilibrio, nos vayamos de bruces al piso. Podemos medirla sencillamente al pararnos en una balanza.
Esa extraña fuerza que retiene nuestros pies sobre la superficie no es otra cosa que el peso.
Si la misma fuerza de atracción que hace caer la manzana actúa sobre la luna ¿por qué no cae?. Simplemente por que la luna gira produciendo una fuerza centrífuga que equipara a la fuerza de atracción gravitacional.
La aceleración de la luna puede ser calculada conociendo su período, y el radio de su órbita. Para tal fin consideremos a su órbita como circular. La luna tarda 27,3 días (2,36.106 seg.) en dar una vuelta completa y se encuentra a 378000 Km. de distancia de la superficie de nuestro planeta, el radio de giro deberá considerarse sumando el radio terrestre (6360 Km. aproximadamente) y la distancia antes mencionada r = 3,85.108 m.
Fuentes:
Información obtenida en el aula de clases y para resolver más ejercicios utilicé material de apoyo de Internet:
Unicos. (11 de Noviembre de 2011). You Tube. Obtenido de https://youtu.be/mqIvXg-W7EoFuentes:
Sokolovsky.S( Octubre de 2002). Obtenido de: http://kambry.es/Apuntes%20Web/Paginas%20web%20de%20Matematicas/Analisis_Algebra/Fisica/ley_de_grav.htm
