La ley de Faraday anunció que:
El valor de la fuerza electromotriz (fem) inducida en el conductor limita la superficie atravesada por el flujo magnético, depende de la rapidez de la variación del flujo magnético. Es decir, cuando más rápido cambia el flujo magnétcio mayor es la corriente inducida en la bobina.
Fuerza electromotriz inducida:
La fuerza electromotriz de un circuito es igual a la variación con respecto al tiempo (t) del flujo que atraviesa dicho circuito:

También es igual a la velocidad por el valor del campo mágnetico y por la longitud del conductor. Su resultado lo obtenemos en voltios:
Ejercicios:
-Un conductor de 0.8m de longitud se desplaza perpendicularmente a un campo magnético uniforme de 5*10^-2 wb/m`2 con una velocidad de 8m/s. Calcular:
a)¿Qué Fem existe en los extremos de la varilla?
b)¿Cuál es el valor de la corriente inducida si el conductor se conecta a un circuito donde se encuentra una resitencia de 2 ohmios?

Literal b:

-El imán a cierta distancia de la espira establece a través de ella un flujo. Al acercar rápidamente el imán a la espira, el flujo varía.Si esta variación se produjo en un intervalo de tiempo de 0.10 segundos.Determine:
a.-El valor de la F.e.m. inducida en la espira mediante la ley de Faraday.
b.- Sabiendo que la resistencia de la espira es de 3 ohmios, calcule la corriente inducida:

Ley de Lenz
-Cuando un imán se acerca a la bobina aumenta el flujo magnético que atraviesa, y produce un campo magnético de sentido contrario al imán, por lo que dicha corriente se opone al aumento de flujo.
-Cuando un imán se aleja disminuye el flujo magnético que atraviesa, produce un campo magnético de sentido contrario al imán por lo que se opone a la disminución del flujo.
El sentido de la corriente inducida es tal que el campo magnético que dicha corriente produce se opone a la variación del flujo que la causa.
Esta oposición del flujo es la razón por la cual se utiliza el signo negativo en el segundo miembro de la ecuación de la ley de Faraday:

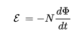
En este caso la Ley de Faraday afirma que la tensión inducida ℰ en cada instante tiene por valor:

Donde ℰ es el voltaje inducido, dΦ/dt es la tasa de variación temporal del flujo magnético Φ y N el número de espiras del conductor. La dirección del voltaje inducido (el signo negativo en la fórmula) se debe a la oposición al cambio de flujo magnético.
Experimento 2: Limaduras de hierro en el agua:
Materiales:
-limaduras de hierro
-recipiente con agua
-imanes
Procedimiento:
1.- Coloco agua en el recipiente de vidrio agua, y después puse poco a poco las limaduras de hierro en el recipiente.
2.- Las limaduras fueron poco a poco hundiéndose, por último acerque los imanes a un lado del recipiente y observe como fueron atraídas las limaduras al imán, incluso dentro del agua.
Explicación:
Las líneas de fuerza del imán son fuertes y por ende las limaduras de hierro se atraen al imán observando las lineas del campo magnético.

Experimento 3: Imanes en el agua
Materiales:
-corchos pequeños
-imanes
Procedimiento:
1.-Corto el corcho en pedazos y los pego con los imanes asegurándome que queden todos con su polo igual, es decir para que los imanes al colocarlos en el agua no se junten y todos se alejen.
2.-Pegué todo y en un recipiente de agua puse 5 imanes uno por uno, y ellos se alejaban al estar con el mismo polo, se repelen.
Explicación:
El campo magnético del imán hace que se repele del otro imán al estar con el mismo polo que los demás. El imán busca siempre la mayor distancia. Se observa la diferencia del campo magnético de cada imán.
Fuentes:
Información obtenida de clases
García, A (Septiembre de 2015) Obtenido de:
http://www.asifunciona.com/electrotecnia/ke_fem/ke_fem_1.htm